一、概念
股票收益率是反映股票收益水平的指标。投资者购买股票或债券最关心的是能获得多少收益,衡量一项证券投资收益大小以收益率来表示。
反映股票收益率的高低,一般有三个指标:
- 本期股利收益率。是以现行价格购买股票的预期收益率。
- 持有期收益率。股票没有到期,投资者持有股票的时间有长有短,股票在持有期间的收益率为持有期收益率。
- 折股后的持有期收益率。
股份公司进行折股后,出现股份增加和股价下降的情况,因此,折股后股票的价格必须调整
(1)计算公式
股票收益率指投资于股票所获得的收益总额与原始投资额的比率。股票得到投资者的青睐,是因为购买股票所带来的收益。股票的绝对收益率就是股息,相对收益就是股票收益率。
[AppleScript] ı鿴 ƴ 股票收益率=收益额/原始投资额
当股票未出卖时,收益额即为股利。
衡量股票投资收益的水平指标主要有股利收益率与持有期收益率和拆股后持有期收益率等。
1.股利收益率
股利收益率,又称获利率,是指股份公司以现金形式派发的股息或红利与股票市场价格的比率其计算公式为:
该收益率可用计算已得的股利收益率,也能用于预测未来可能的股利收益率。
2.持有期收益率
持有期收益率指投资者持有股票期间的股息收入和买卖差价之差与股票买入价的比率。其计算公式为:
股票还没有到期日的,投资者持有股票时间短则几天、长则为数年,持有期收益率就是反映投资者在一定持有期中的全部股利收入以及资本利得占投资本金的比重。持有期收益率是投资者最关心的指标之一,但如果要将其与债券收益率、银行利率等其他金融资产的收益率作一比较,须注意时间可比性,即要将持有期收益率转化成年率。
3.持有期回收率
持有期回收率说的是投资者持有股票期间的现金股利收入和股票买卖差价之差与股票买入价比率。本指标主要反映其投资回收情况,如果投资者买入股票后股价下跌或操作不当,均有可能出现股票卖出价低于其买入价,甚至出现了持有期收益率为负值的情况,此时,持有期回收率能作为持有期收益率的补充指标,计算投资本金的回收比率。其计算公式为:
4.拆股后的持有期收益率
投资者在买入股票后,在该股份公司发放股票股利或进行股票分割(即拆股)的情况下,股票的市场的市场价格及其投资者持股数量都会发生变化。因此,有必要在拆股后对股票价格及其股票数量作相应调整,以计算拆股后的持有期收益率。
其计算公式为:
[AppleScript] ı鿴 ƴ (收盘价格-开盘价格)/开盘价格股票
收益率的计算公式
[AppleScript] ı鿴 ƴ 股票收益率= 收益额 /原始投资额
- 其中:收益额=收回投资额+全部股利-(原始投资额+全部佣金+税款)
当股票未出卖时,收益额即为股利。
衡量其股票投资收益水平指标主要有股利收益率及持有期收益率及其拆股后持有期收益率等。
1.股利收益率
股利收益率,又称获利率,是指股份公司以现金形式派发的股息或红利与股票市场价格的比率。
本收益率可用于计算已得的股利收益率,也可用预测将来可能的股利收益率。
2.股票持有期收益率
持有期收益率指投资者持有股票期间的股息收入与买卖差价之和与股票买入价的比率。
股票没有到期日,投资者持有股票的时间短则几天,长则数年,持有期收益率就是反映投资者在一定的持有期内的全部股利收入和资本利得占投资本金的比重。持有期收益率是投资者最关心的指标,但如果要将它与债券收益率、银行利率等其他金融资产的收益率作比较,须注意时间的可比性,即要将持有期收益率转化为年率。
持有期回收率是指投资者持有股票期间的现金股利收入与股票卖出价之和与股票买入价的比率。该指标主要反映投资回收情况,如果投资者买入股票后股价下跌或是操作不当,均有可能出现股票卖出价低于买入价,甚至出现持有期收益率为负值的情况,此时,持有期回收率可作为持有期收益率的补充指标,计算投资本金的回收比率。
投资者在买入股票后,在该股份公司发放股票股利或进行股票分割(即拆股)的情况下,股票的市场的市场价格和投资者持股数量都会发生变化。因此,有必要在拆股后对股票价格和股票数量作相应调整,以计算拆股后的持有期收益率。
在投资决策时的股票收益率计算公式:
假设股票价格是公平的市场价格,证劵市场处于均衡状态,在任一时点证劵的价格都能完全反映有关该公司的任何可获得的公开信息,而且证劵价格对新信息能迅速做出反应。在这种假设条件下,股票的期望收益率等于其必要的收益率。
而股票的总收益率可以分为两个部分:第一部分:D1/P0 这是股利收益率。解释为预期(下一期)现金股利除以当前股价,那下一期股利如何算呢,D1=D0*(1+g).第二部分是固定增长率g,解释为股利增长率,由于g与股价增长速度相同,故此g可以解释为股价增长率或资本利得收益率。
举个例子来说明:股价20元,预计下一期股利1元,该股价将以10%速度持续增长
则:股票收益率=1/20+10%=15%
这个例子中的难点是10%,她就是g,g的数值可根据公司的可持续增长率估计,可持续增长率大家应该都知道了吧。g算出后,下一期股利1元也是由她算出的,公式上面已经列出。有了股票收益率15%,股东可作出决定期望公司赚取15%,则可购买。
(2)分类
股票收益率主要有本期收益率、持有期收益率两种。
本期收益率,是指股份公司上年派发的现金股利与本期股票价格的比率,反映了以现行价格购买股票的预期收益情况。
式中,年现金股利是指上年发放的每股股利;本期股票价格是指该股票当日证券市场收盘价。
持有期收益率,是指投资者买入股票持有一定时期后又将其卖出,在投资者持有该股票期间的收益率,反映了股东持有股票期间的实际收益情况。
二、是什么决定了股票收益率?
“ 对许多投资者来说,
股市是世界上最大的赌场。 ”
—— 杰里米·西格尔
没有哪个股票投资者会不在乎自己的投资收益率,正如没有哪个赌徒会不在乎自己能赢多少钱。 面对这个困惑,不同人给出了不同的解释。 有的人从公司前景出发,对更看重公司的发展潜力。 (1)一道选择题 一般投资者在挑选战胜市场的股票时,会优先考虑那些提供高收益、保持高增长的公司。 收益低于平均水平。 西格尔教授举过一个「埃克森美孚 VS IBM」的例子。 在接下来62年里,这名投资者将一直持股不动,并将所有股息全部用于购买公司的股份。 如果你是这名投资者,你会怎么选?
(2)价值与成长
为了你的决策有更充分的数据支撑,西格尔教授整理了两家公司在接下来62年的实际增长数据。是的,连预测都不用,直接告诉你未来62年的【实际数据】,够慷慨了吧?
IBM公司与标准石油公司的增长率、估值与收益率 (a)
注:收益率指标选取年份为1957~2012年
(来源:杰里米·西格尔,《股市长线法宝》)
从表中的a部分可以看出:无论采用哪种华尔街的选股标准 —— 收入、盈利、股息还是行业增长 —— IBM公司的增长都远胜于标准石油公司。
就拿华尔街最喜欢的「每股盈利增长率」来说,在这62年里,IBM的年增长率比标准石油高出3个百分点。
除此之外,随着信息技术的发展,科技行业在市场中的比重由3%狂飙至20%。而同一时期,石油行业在市场中的比重锐减:由20%下跌了近一半(注意表中的a - ①)。
根据这些「成长性」标准,似乎IBM的股票是你的最佳选择……
可事实,并非如此。
(3)价值决定收益
让我们再来看看表格的b部分。
IBM公司与标准石油公司的增长率、估值与收益率 (b)
(来源:杰里米·西格尔,《股市长线法宝》)
标准石油公司股票的年化收益率比IBM高出1% —— 这意味着什么呢?
假如你在62年后将投资变现,在标准石油上投资的100美元将变为1,620,000美元,几乎是IBM股票投资的2倍!
明明IBM在每一个增长率指标上都领先于标准石油公司,为什么投资收益却不如后者呢?
西格尔教授的回答很简单:
价值是你为所收到的盈利与股息
而支付的价格。
……
价值,决定了投资者的收益率。
(4)股息与再投资
我们再来看看表格的c部分,就不难理解上述说法了。
IBM公司与标准石油公司的增长率、估值与收益率 (c)
(来源:杰里米·西格尔,《股市长线法宝》)
标准石油的平均市盈率几乎是IBM公司的一半,而平均股息率还比后者高出2个百分点。
换句话说,标准石油公司在价值上战胜了IBM,投资者们为IBM支付了过高的价格。
由于标准石油的股价较低,其股息收益率明显高于IBM。
如果投资者购买标准石油的股票并进行股息再投资,他们所持有的股票会是开始时数额的12.7倍;而购买IBM所累积的股票只是初始数额的3.3倍。
尽管标准石油公司股票的价格增值率(表格的b部分)落后于IBM,这家石油公司的高股息收益率为股东提供了更高的回报。
西格尔教授强调:股息是投资收益的关键驱动因素。
(5)是什么决定了股票收益率
20世纪60年代,威廉·夏普和约翰·林特纳在资本资产定价模型 (CAPM) 中有一个基本结论:在一个有效市场中,投资者持续获得高收益的唯一途径是接受更高的风险。
这里说的“风险”,是指某项资产收益率与市场整体收益率之间的相关性,也叫贝塔系数 (beta) 。
然而在解释单个股票收益率之间的差异上,贝塔系数的效果并不明显。
以前面的例子来说,标准石油股票的贝塔系数远低于IBM,但收益率却要高得多。
也正是因为这个原因,尤金·法玛和肯·弗伦奇在1992年发表于《金融期刊》上的文章宣称“CAPM模型不是股票收益率的一种有效估计”。
为了解决收益率估计问题,法玛和弗伦奇找到了两种比贝塔系数更重要的因素:一种因素与公司的股票市值有关,另一种因素与股票的估值有关。
前一种因素,可以将股票分成小盘股和大盘股;
后一种因素,可以将股票分成价值型和成长型。
这两种因素交叉之后,投资者应该如何选择?
杰里米·西格尔教授再次发挥实证研究的威力,用上百年的数据为我们拨开收益率迷雾。
三、区分和计算
例如,我们有如下股票价格序列:
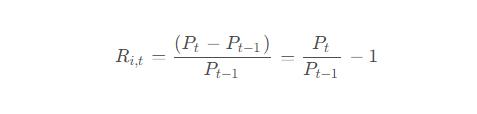
简单算数收益率
SampleReturn (用R表示)
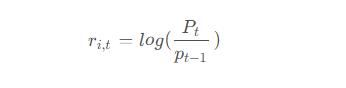
对数收益率
LogReturn (这里用r rr表示)
- 简单算数收益率是严格大于-1的(因为价格一定为正),而对数收益率的取值可以小于-1
- 简单收益率一般来讲大于同等情况下的对数收益率
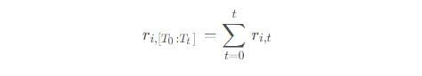
区间内收益率的计算
在实证研究中,很多时候我们希望得到周收益率或者月度收益率,那么如何根据日度收益率得到这些指标呢?可能很多同学会想当然地认为:直接加总日收益率即可!可是问题在于:直接对简单收益率进行加总得到的周(月)收益率等于对数日收益率的加总吗?
答案是否定的
因为,区间内简单日收益率的加总意味着投资者每天都在进行交易,而非在区间内买入并持有至末期。
因此。正确的做法是使用时间区间内的对数收益率相加总,得到的才是一段时期内的收益率。
当然,我们也可以通过简单算术日收益率计算区间内的持有期收益,但是需要采用下述方法:
|